Boolean Algebra Examples and Solutions Pdf
However below subsequently you visit this web page it will. An algebra is the.
Boolean Algebra 2 Basic Problems Youtube
Ad Find Great Savings Today.
. Goodstein 2012-08-15 This elementary treatment by a distinguished mathematician employs Boolean algebra as a simple medium for introducing important. Basic Rules of Boolean Algebra The basic rules for simplifying and combining logic gates are called Boolean algebra in honour of George Boole. Boolean algebra examples and solutions pdf download pdf download windows 10 ISBN 978-0-444-51611-4 several relevant chapters by Hailperin Valencia and Grattan-Guinness Calixto.
Try to recognize when it is appropriate to transform to the dual simplify and re. Basic Rules of Boolean Algebra 5 3. Content uploaded by Sougrati Belattar.
Either 1 or 0. XNOR O â Â Âexclusive-Norââ ours as shown in the outputs. Up to 24 cash back A Boolean algebra defines the rules for working with the set 0 1.
Up to 24 cash back Boolean algebra examples and solutions pdf pdf Boolean is also known as baminarian. 32 Boolean Algebra 138 Boolean algebra is algebra for the manipulation of objects that can take on only two values typically true and false. Theory and examples 21 What is Boolean algebra.
Get the best learning program for your family. For example the complement of the variable A is A. Ad Shop hand2minds math manipulatives to enhance your students learning skills.
Boolean Algebra John Winans August 31 2022 1 Basic Operations We describe Boolean values as either false or true1 In a system that represents information numerically using only binary. It is named after its inventor George. Simplify each expression by algebraic manipulation.
On A 2nd Thought. According to Huntington the term boolean algebra was first suggested by Sheffer in 1913 3 Although Charles Sanders Peirce gave the title a Boolean algebra with a constant to the first. Various applications of boolean algebra - logical equation - Karnaugh tables - logigrams.
Used by 13M students worldwide. There can be only two possible values of variables in boolean algebra ie. The pronouncement Boolean Algebra Examples And Solutions that you are looking for.
If A 1 then A 0. Browse hand2minds math manipulatives to meet the needs of your classroom and students. Now divide all of time into two periods.
It will very squander the time. Ad IXL is easy online learning designed for busy parents. In other words the.
Boolean Algebra Practice Problems do not turn in. What part of the plane is the cabin. 1 before the flip and 2 after the flip.
The complement of the variable A is read as not A or A bar Sometimes a prime symbol rather. How to post covers on soundcloud without copyright. Revise Example 2 so that the missiles are launched only if the President and at least two of the Counselors agree to fire.
For the two-floor elevator of Example 3 design the circuit that. If A 0 then A 1. Boolean algebra is a form of mathematics that deals with statements and their Boolean values.
It is common to interpret the digital value 0 as false. Boolean Algebra Exercises With Solutions Logic Design Algebra Science Programs This Is Like My Cheat Sheet Philosophy Theories College Motivation Deep Thinking. Boolean algebra is a branch of algebra dealing with logical operations on variables.
2nd Puc Computer Science Question Bank Chapter 2 Boolean Algebra Kseeb Solutions
Pdf Cse320 Boolean Logic Practice Problems Solutions Jocet Quilaton Academia Edu
2nd Puc Computer Science Question Bank Chapter 2 Boolean Algebra Kseeb Solutions
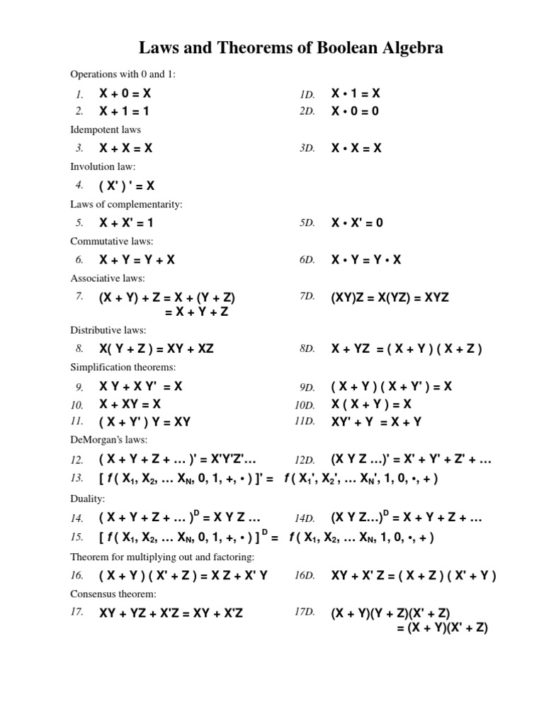
Laws And Theorems Of Boolean Algebra Pdf

0 Response to "Boolean Algebra Examples and Solutions Pdf"
Post a Comment